科技进展
您当前的位置 :
   一氧化氮(NO)化学活性强,影响着大气环境化学,极易被对流层臭氧和氢氧自由基氧化,同时也是大气细颗粒物中硝酸盐形成的前体物质。森林土壤是大气NO的重要排放源,但全球森林土壤NO排放仍存在很大的不确定性,这影响了全球森林NO排放的估算,其中站点分布不均和缺乏高频在线监测是重要原因。目前,在全球森林开展土壤NO排放研究的站点有59个,而连续自动监测研究则只有13个,在中国温带森林还没有NO连续自动监测的报道(图1)。
  基于此,中科院沈阳应用生态研究所稳定同位素生态学团队在辽宁清原森林生态系统国家野外科学观测研究站一典型温带针阔混交林建立了高频连续土壤NO排放速率的自动采样和测定系统(系统由15个土壤呼吸室、自动控制系统和NO-NO2-NOx分析仪组成),对该站点森林土壤NO的排放通量进行了连续两年的观测(图2)。

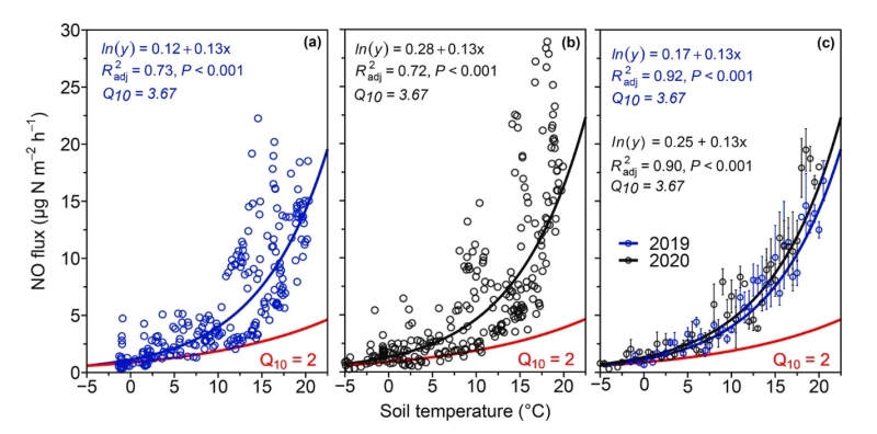
  研究发现该站点森林土壤NO年排放量为0.42 0.04 kg N ha?1,低于全球森林土壤平均排放水平1.34 0.28 kg N ha-1 yr-1,其中生长季NO排放贡献占全年NO通量的92%。土壤温度是NO排放的主要调控因子,解释了NO季节变化的90–92%。NO通量的表观温度敏感性(Q10)为3.67(图3)。此外,研究还发现生长季NO排放受土壤湿度的影响,最适土壤湿度为37% WFPS。通过土壤NO通量的高频测量,有助于我们更好的理解土壤温湿度对土壤NO排放调控机制,为开发更精确的生物地球化学模型和提高全球森林土壤NO排放估算的准确性提供科学基础。

  该成果以A strong temperature dependence of soil nitric oxide emission from a temperate forest in Northeast China”为题2022年6月7日发表在Agricultural and Forest Meteorology期刊。沈阳生态所博士生黄凯和特别研究助理宿晨霞为共同第一作者,方运霆研究员为通讯作者。该研究得到了中科院仪器研制项目、辽宁省“兴辽人才”计划、中科院卢嘉锡国际团队和国家自然科学基金委员会等项目的支持。 
  
  图1. 全球森林土壤NO排放研究的分布(n = 59
  
  图2. 清原大气和土壤温度(a)、土壤湿度和日降水(b)、土壤NO排放(c)和土壤有效态氮含量(d)的季节动态
  图中阴影部分代表生长季(4月中旬-10月中旬)
  
  图3. 土壤NO排放与土壤矿质层(5cm)温度的相关性
  图a, b分别代表20192020年土壤NO排放与温度的相关性;图c代表取0.5 的间隔后NO排放与温度的相关性
附件: