科技进展
您当前的位置 :

  近日,海洋所孙松研究组对南极磷虾大尺度时空变动提出新的观点。团队最新发表在生态学top期刊Limnology and Oceanography的文章显示,南大洋食物网的关键物种——南极磷虾通过新的避难所对南大洋主要栖息地快速升温和海冰减少呈现一定的恢复力。

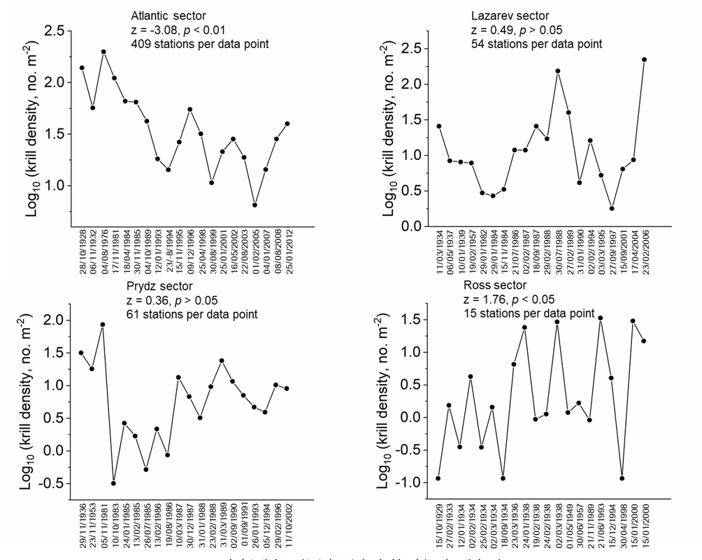
  人们从100年前的Discovery远征南极时代起就认为南大洋的大西洋扇区是南极磷虾的主要聚集区(70%的磷虾种群聚集于此),此区域也是磷虾渔业的主要集中区。而上世纪70年代以来的西南极海域的快速变暖使得此区域磷虾丰度显著降低,这也为南大洋的保护敲响了警钟。孙松团队研究显示,在环境快速变化的大西洋扇区磷虾丰度减少,相对稳定的印度洋和太平洋扇区成为南极磷虾的避难所,能够比一个世纪之前容纳更多的磷虾种群。

   

  南极磷虾种群的时空变动

   

  南极磷虾不同扇区丰度的时间序列变动

  南极磷虾是南大洋高营养级生物的重要饵料,南大洋的渔业管理和保护是基于生态系统和食物网的尺度,这需要科研人员了解南大洋不同区域食物网的结构和差异。孙松团队该项研究还提供了第一份环南极南极磷虾同位素基底值,对于开展南大洋食物网结构及模型研究具有重要科学价值。

   

  南极磷虾环南极稳定同位素基准值

  南极磷虾支撑了南大洋特殊的食物网并且是西南大西洋扇区商业捕捞的主要对象。此区域磷虾种群是否降低,近二十年存在广泛争论,这种不确定性为磷虾渔业的管理带来了大量不便。研究团队从更广的环南极尺度上提供了新的视角,将为南极周边海洋保护区建设和磷虾渔业的合理管理提供了基础数据支撑。

  此项工作由来自中国科学院海洋研究所、普利茅斯海洋实验室、英国南极局、那不勒斯动物所和墨西拿大学的科学家共同完成,海洋所杨光副研究员为论文第一作者,李超伦研究员为论文通讯作者。研究中,科研人员整合了2013/2014中国第30次南极科学考察(Discovery航次之后全球唯一一次单季节环南极航次)南极磷虾样品数据、KRILLBASE南极磷虾数据库(1926-2016)和南极磷虾稳定同位素元数据等多个大数据库。

  南大洋大多数浮游动物(包括南极磷虾)都是环南极分布的,但是它们的栖息地在不同的扇区以不同的速度进行变化,因此可以将南大洋做为一个天然的实验场来追踪不同扇区南极磷虾的栖息地变化。文章作者之一,普利茅斯海洋实验室的著名极地海洋生态学家Angus Atkinson认为:“这是一个很好的关于南大洋研究的国际合作范例,由来自不同国家的科学家共享数据和观点,国际合作对于未来南极的研究、保护和管理是必须的”。文章另一位共同作者,来自英国南极局的海洋生态学家Simeon Hill指出:“南大洋是一个庞大而复杂的生态系统,将多个区域的多个数据资源整合在一起将会利于我们看到整体的画面,实际上南大洋的某些区域已经比其他区域有着更快的变化”。世界自然基金会首席顾问Rod Downie评述该研究时指出:“磷虾是南大洋的超级英雄,它处于气候危机的前线并且为大量的生物包括企鹅、海豹和鲸鱼提供了饵料。磷虾每年固定百万吨的碳至深海,从而为地球上的生物保持稳定的气候条件。这项工作强调未来南极变暖的情况下新的区域可以做为其生境的避难所,确定和保护这些区域在今后的南极保护区研究是至关重要的”。

  文章发表后引起广泛关注,普利茅斯海洋实验室、英国南极局、世界自然基金会、Limnology and Oceanography杂志等对此进行了联合报道。

  普利茅斯海洋实验室报道:

  https://www.pml.ac.uk/News_and_media/News/GOOD_NEWS_Habitat_refuges_of_Antarctic_krill_prov 

  英国南极局对此报道:

  https://www.bas.ac.uk/media-post/antarctic-krill-take-refuge-from-climate-change/ 

  世界科技研究新闻资讯网报道:

  https://phys.org/news/2020-09-antarctic-krill-refuge-climate.html 

  上述研究得到了国家重点研发专项、国家自然科学基金、世界自然基金会等项目的支持,相关成果及链接如下:

  Guang Yang, Angus Atkinson, Simeon L. Hill, Letterio Guglielmo, Antonia Granata, Chaolun Li (2020) Changing circumpolar distributions and isoscapes of Antarctic krill: Indo-Pacific habitat refuges counter long-term degradation of the Atlantic sector. Limnology and Oceanography, doi: 10.1002/lno.11603.

  https://aslopubs.onlinelibrary.wiley.com/doi/full/10.1002/lno.11603

附件: