长期以来,沙丘生态系统植被恢复受到生态学者的广泛关注。作为沙丘生态系统中最重要的非生物因子,风蚀和沙埋改变了土壤环境条件,进而影响植物更新和植被演替。沙区强烈的风蚀和沙埋往往造成种子吹失或幼苗深埋,限制了种子对种群补充的有效性。沙丘体芽库着生的克隆生长器官及其形成的无性系分株在迅速吸收有限资源的同时,可利用本身贮藏的资源,实现种群空间拓殖。因此,以芽库为基础的营养繁殖在沙丘植被发育中占据绝对优势。然而迄今为止,地下芽库如何响应沙区风沙活动以及地下芽库在其种群更新和植被恢复中的作用研究甚少。
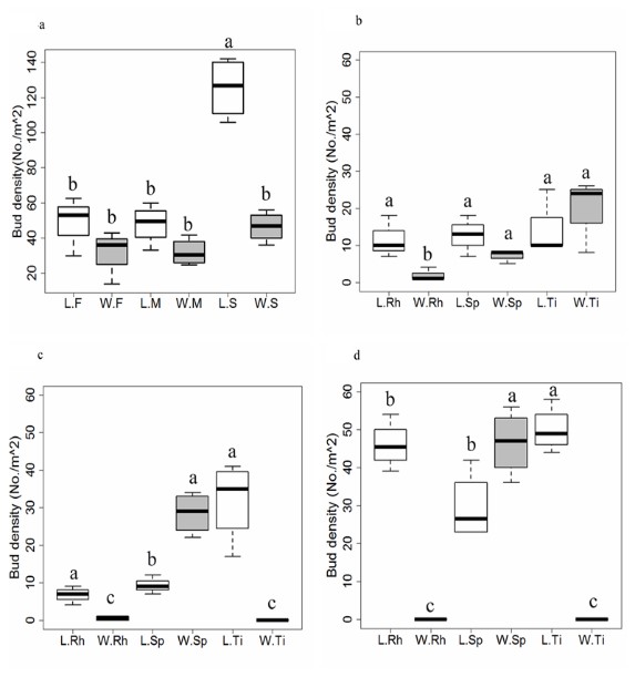
鉴于此,荒漠化防治组在乌兰敖都试验站选择三个沙丘类型(流动、半固定、固定沙丘),五个沙丘位置(丘间地、过渡带、坡底、坡中、坡上),和两个坡面(迎风坡、背风坡):沙丘类型作为干扰梯度(由固定沙丘到流动沙丘风沙干扰逐渐增强),沙丘坡面作为不同干扰类型(迎风坡风蚀为主、背风坡沙埋为主),沙丘位置作为水分胁迫梯度(有沙丘底部到沙丘顶部说分胁迫逐渐增强)(图1)。本研究采用R中的线性回归方程(Linear regression equations,Y=ax+b)和线性混合效应模型(Linear mixed effect models, Y= [ 0aspect] fixed + [ type]random)来探讨风沙干扰和水分胁迫如何作用沙丘生态系统的芽库繁殖力,假设:根蘖芽在干扰生境中占优势,分蘖芽在胁迫生境中占优势。结果显示:1)不同芽库类型对干扰和胁迫显示出不同的适应策略(图2):根蘖芽更适于风沙干扰生境(胁迫忍耐型杂草策略),分蘖芽更适于沙埋干扰生境和低水分胁迫生境(杂草策略),根茎芽对水分胁迫更敏感并且适于较低干扰强度(竞争型策略);2)中等程度干扰和胁迫生境的植物比其他生境产生更多的芽。因此芽库生存策略和表型响应可以作为分析种群繁殖的指示物,在沙丘管理予以深思。
相关研究结果以“Responses of belowground bud bank to disturbance and stress in the sand dune ecosystem”为题发表于Ecological Indicators 杂志(IF 4.49)。荒漠化防治组助研马群为第一作者,刘志民研究员为通讯作者。

图1. 沙丘干扰、胁迫类型与芽库类型

图2.不同芽库类型对干扰和胁迫的适应策略