近日,中国科学院海洋研究所海洋生物制品研究团队在改造有机铜农药方面取得新突破,合成了一系列结构新颖且具有显著活性的新型大分子铜制剂——壳聚糖席夫碱铜复合物,部分样品在低浓度下(200ppm)对辣椒疫霉病菌(Phytophthora capsici)抑制率可达100%,远高于市售产品噻菌铜等铜制剂。相关研究成果在高分子科学期刊《Carbohydrate Polymers》发表。
波尔多液是一种具有上百年历史的传统农药。1878年植物学家米拉德(Pierre-Marie-Alexis Millardet)在法国葡萄酒著名产地波尔多偶然发现由熟石灰与硫酸铜溶液混合配制而成的悬浊液可有效防治使葡萄大量减产的霉叶病。1885年他将研究成果公之于众并推广使用,大获成功,从此波尔多地区变成了“葡萄园世界”,这种悬浊液也成为著名农药——波尔多液,为全世界农业增产做出了巨大贡献。但是这种无机铜制剂长期使用缺点明显:由于其呈碱性,不能与其他酸性农药混用;硫酸铜有毒,易产生药害;贮存和使用不方便,只能现用现配、不能用金属容器贮存等。许多科学家一直试图研发有机铜制剂替代品,但进展不大。
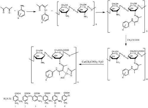
该论文阐明了壳聚糖席夫碱铜复合物离子络合方式及构效关系并对抑菌机理做了探讨,设计合成了一种水溶性大分子壳聚糖席夫碱及其铜复合物,通过结构计算以及光谱表征发现,铜复合物中壳聚糖长链侧基中苯环与碳氮p- 共轭集团形成了大 键,而不同的苯环取代基所带来的空间位阻导致铜离子与大 键中的碳原子形成了配位键。空间位阻还会影响大 键的内角角度,从而影响共轭效果,较大的内角角度会降低配位键的键能,提高铜离子的释放效果,进而显著增强抑菌效果。由于该类铜复合物为有机螯合态含铜杀菌剂,相比传统含铜杀菌剂具有作用效果快速直接、不易产生药害、稳定性好、易储存等优点,有望被开发为新一代有机铜杀菌剂。该研究使用的化合物表征方法为大分子有机金属配合物的结构分析提供了一个新的研究方向,也为传统农药改造提供了新的思路。
本研究得到了国家自然科学基金项目和青岛海洋科学技术国家实验室项目资助,李鹏程研究员为文章通讯作者。该成果已获得两项国家发明专利授权。
文章链接:doi: 10.1016/j.carbpol.2016.12.040

图1 中科院海洋所在利用海洋生物多糖改造传统农药方面获得突破

图2 合成路线