近日,中国科学院青岛生物能源与过程研究所生物基及仿生高分子材料团队负责人万晓波等在二氮芳辛的合成机理研究以及由此衍生出的新型场效应晶体管材料合成方面取得阶段性进展。
二氮芳辛是潜在的人工肌肉高分子材料的构筑基块,一般可由2-氨基二苯甲酮通过传统的缩合反应制备而得,但此过程需要长时间的回流和除水,并且产率受底物影响较大。此外,2-氨基二苯甲酮本身的制备方法比较繁琐和昂贵,因而限制了二氮芳辛类分子的性能研究。
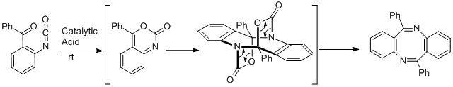
万晓波团队发现了一种关键反应步骤为2-酰基叠氮二苯甲酮在酸性条件下的合环反应的新型二氮芳辛合成方法,该反应不需要长时间的回流和除水,反应迅速,产率高。该工作发表在Organic Letters 上(Org. Lett., 2011, 13, 709-711)。
在此基础上,通过对反应进行优化,发现该反应可在温和(催化量的酸、室温)条件下进行,通过对机理的深入研究,进一步修正了最初提出的反应机理,该工作发表在最新一期的Tetrahedron上(Tetrahedron, 2012, 68, 9665-9671)。

图一. 二氮芳辛合成的优化及机理的修正
同时,该团队还对二氮芳辛的潜在应用进行了有意义的拓展,发现从9,10-位氯代的二氮芳辛出发,在酸的辅助下用锌粉还原,可成功地合成新型含吡咯并[3,2-b]吡咯的稠环化合物,该类化合物可作为有机小分子的场效应晶体管材料,也可以作为构筑基块合成高分子场效应晶体管材料。该合成路线新颖,具有简捷、产率高等特点,优于目前已有报道的吡咯并[2,3-b]吡咯合成方法,并能拓展到更大的共轭体系合成中去。
在中科院化学所刘云圻研究组的协助下,对所合成材料的场效应晶体管性能做了初步研究,发现相应的化合物是潜在的性能优良的场效应晶体管材料。相关工作发表在最近的Chemical Communication上(Chem. Commun., DOI:10.1039/C2CC36689D)。

图二. 从氯代二氮芳辛一步法合成吡咯[2,3-b]并吡咯稠环化合物
原文链接:
1. 二氮芳辛的合成新方法:
http://pubs.acs.org/doi/pdf/10.1021/ol102957c
2. 二氮芳辛合成方法优化:
http://dx.doi.org/10.1016/j.tet.2012.09.050
3. 新型有机场效应晶体管材料:
http://pubs.rsc.org/en/content/articlepdf/2012/cc/c2cc36689d