近日,中国科学院大连化学物理研究所催化基础国家重点实验室理论催化创新特区研究组研究员肖建平团队与浙江大学肖丰收教授、王亮研究员团队合作,在乙烷非氧化脱氢制乙烯的研究中取得新进展。
乙烯和丙烯等低碳烯烃是现代化学工业的重要原料。通过低碳烷烃脱氢,有望实现页岩气直接生产低碳烯烃,具有重要的研究价值。金属铁(Fe)催化剂曾被用于非氧化脱氢反应,但其存在积碳严重的问题。而通过分子筛S-1改性的Fe-S-1,在非氧化脱氢反应中表现出较好的活性和抗积碳能力。因此,理解Fe和Fe-S-1的差异,以及从理论上统一金属和分子筛催化剂的不同机理非常重要。

大连化物所实现乙烷非氧化脱氢制乙烯机理的模型统一
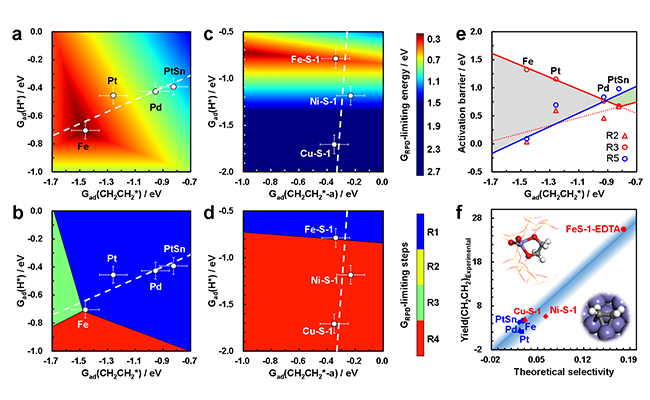
本工作通过研究两个维度的描述符(*C2H4和*H的吸附自由能),构建了反应相图,统一了Fe和Fe-S-1催化剂不同的反应机理。研究发现,金属催化剂Pt、Pd和PtSn的本征活性(转化率)受反应第一步乙烷脱氢(R1)的限制,而Fe位于R1、R3(乙烯脱附)和R4(氢气脱附)的交点处,即Fe的催化性能会受到上述三个步骤的同时影响。对于沸石S-1改性的催化剂,Ni-S-1和Cu-S-1的速率限制步骤是R4,而Fe-S-1恰好位于R1和R4的交界处,其相对较弱的H*吸附使得更容易生成氢气和脱附。该工作通过微观动力学模型从理论上统一了金属和分子筛体系的反应收率,为非氧化脱氢反应催化剂的设计提供了新的方向。
相关成果发表在《美国化学会志》(J. Am. Chem. Soc.)上。该工作得到了国家自然科学基金、中科院先导B项目和辽宁省“兴辽英才计划”等研究经费的支持。