科技进展
您当前的位置 :

  微生物在土壤有机质的形成和周转中扮演重要角色,其死亡后的残留物是土壤有机氮的重要贡献者。然而目前为止,土壤微生物残留物氮的形成、周转和稳定的控制机制仍不明确,全球变暖是否通过影响微生物残留物的动态而影响土壤有机质的周转还有待研究。

  基于此,中国科学院沈阳生态所生物地球化学组以长白山温带森林土壤为研究对象,利用微生物纯培养法从土壤中筛选出细菌和真菌数株,利用含有高丰度氮同位素的培养基对微生物进行培养并获得微生物残留物,之后进行不同温度条件下的微生物残留物室内分解实验。

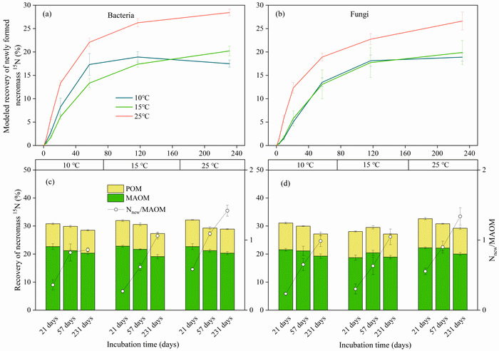
  研究发现:1)尽管细菌和真菌残留物的化学成分不同,但其残体氮的矿化速率没有明显差异;增温条件下,微生物的生长和死亡残留物形成速率高于残留物的分解速率,使得土壤中微生物残留物氮的积累不断增加;2)大部分残留物的15N出现在矿物有机物复合体中,表明残留物氮在土壤中保持稳定的主要因素是矿物保护而不是残留物自身质量。这项研究揭示了增温条件下微生物残留物氮在土壤中的分解和稳定过程,为更准确地预测未来全球变化情景下SOM的响应提供数据支持及理论基础。

  研究成果以“Elevated temperature increases the accumulation of microbial necromass nitrogen in soil via increasing microbial turnover”为题发表在Global Change Biology期刊上。沈阳生态所生物地球化学组博士生王旭为第一作者,王超副研究员和白娥研究员为共同通讯作者。该研究得到中科院0-1原创项目、国家自然基金委重点项目、中科院青年促进会项目(王超)和国家自然基金委优秀青年项目(白娥)的支持。

  文章链接 

   

  图1. 不同培养温度条件下微生物残留物15N回收率随时间的变化 

    

  

  图2. 微生物残留物氮在土壤中分解后的主要去向 

    

  

  图3. 模型模拟新形成微生物残留物15N回收率随时间的变化以及微生物残留物15N在颗粒有机物和矿物有机物复合体组分回收率随时间的变化 

附件: